へようこそ LookChem.com ログイン|無料で参加
  • or

チオNADP+メーカー CAS番号19254-05-8サプライヤー | LookChem

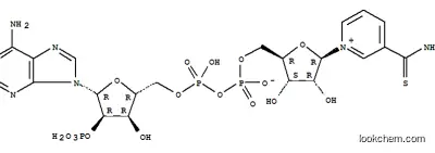
チオNADP+

基本情報 Edit
  • 化学名:チオNADP+
  • CAS番号:19254-05-8
  • 化学分子式:C21H28N6[N+]O15[O-]P3S
  • 分子量:781.45
  • Hs コード:
  • Mol ファイル ダウンロード:19254-05-8.mol
チオNADP+

別名: 3-(アミノチオキソメチル)-1-[5-O-[(2′-O-ホスホノ-5′-アデニリルオキシ)オキシラトホスフィニル]-β-D-リボフラノシル]ピリジン-1-イウム , 1-[5-O-[(2′-O-ホスホノ-5′-アデニリルオキシ)オキシラトホスフィニル]-β-D-リボフラノシル]-3-チオカルバモイルピリジニウム , 1-[5-O-[(2′-O-ホスホノ-5′-アデニリルオキシ)オキシラトホスフィニル]-β-D-リボフラノシル]-3-[アミノ(チオカルボニル)]ピリジニウム , 1-[(2R,3R,4S,5R)-5-{[({[(2R,3R,4R,5R)-5-(6-アミノ-9H-プリン-9-イル)-3-ヒドロキシ-4-(ホスホノオキシ)オキソラン-2-イル]メトキシ}(ヒドロキシ)ホスホリル ホスホナト)オキシ]メチル}-3,4-ジヒドロキシオキソラン-2-イル]-3-カルバモチオイル-1λ5-ピリジン-1-イリウム , 1-[(2R,3R,4S,5R)-5-{[({[(2R,3R,4R,5R)-5-(6-amino-9H-purin-9-yl)-3-hydroxy-4-(phosphonooxy)oxolan-2-yl]methoxy}(hydroxy)phosphoryl phosphonato)oxy]methyl}-3,4-dihydroxyoxolan-2-yl]-3-carbamothioyl-1λ5-pyridin-1-ylium ,

関連する cas 番号: 10000-42-7 100-00-5 1000-05-1 10000-56-3 100007-55-4 100010-02-4 10001-13-5 10001-43-1 100015-12-1 100-01-6

マーケティングと価格
メーカーおよび販売代理店:
  • メーカー/ブランド
  • 化学薬品および原材料
  • 包装
  • 価格
  • American Custom Chemicals Corporation
  • THIONICOTINAMIDE ADENINE DINUCLEOTIDEPHOSPHATE SODIUM SALT 95.00%
  • 10MG
  • $ 674.90
合計 19 の原材料サプライヤー
化学物質詳細情報 Edit
物性情報:
安全性情報:
  • ピクトグラム:
  • 危険コード:
  • ステートメント:
  • 安全に関する声明:
用途:
  • 紹介と応用です: チオNADP+は、アデノシン、リボヌクレオシド、リン酸および様々なリン酸および塩基グループを含む複合体化合物です。アデノシンと3-アミノチオキサノメチル-1-ベータ-D-リボフルランジルピリジニウムのエステル化により形成され、さらにトリフルオロフェンジリン酸およびナトリウムヒドロジリン酸が加わっています。その独特な構造と機能的なグループにより、チオNADP+は生化的および医薬品の多様な応用が考えられます。食品産業や医薬品でサプリメントとして使用される可能性があります。
販売店へ照会