へようこそ LookChem.com ログイン|無料で参加
  • or

ラナレキシンメーカー CAS番号155761-99-2サプライヤー | LookChem

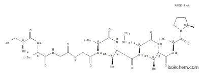
ラナレキシン

基本情報 Edit
  • 化学名:ラナレキシン
  • CAS番号:155761-99-2
  • 化学分子式:C97H167N23O22S3
  • 分子量:2103.7
  • Hs コード:
  • Mol ファイル ダウンロード:155761-99-2.mol
ラナレキシン

別名: L-Phe-L-Leu-Gly-Gly-L-Leu-L-Ile-L-Lys-L-Ile-L-Val-L-Pro-L-Ala-L-Met-L-Ile-L-Cys(1)-L-Ala-L-Val-L-Thr-L-Lys-L-Lys-L-Cys(1)-OH , (4R,7S,10S,13S,16S,19S,22R)-22-[(2S,3S)-2-[(2S)-2-[(2S)-2-{[(2S)-1-[(2S)-2-[(2S,3S)-2-[(2S)-6-アミノ-2-[(2S,3S)-2-[(2S)-2-(2-{2-[(2S)-2-[(2S)-2-アミノ-3-フェニルプロパンアミド]-4-メチルペンタンアミド]アセトアミド}アセトアミド)-4-メチルペンタンアミド]-3-メチルペンタンアミド]ヘキサンアミド]-3-メチルペンタンアミド]-3-メチルブタノイル]ピロリジン-2-イル]ホルムアミド}プロパンアミド]-4-(メチルスルファニル)ブタンアミド]-3-メチルペンタンアミド]-7,10-ビス(4-アミノブチル)-13-[(1R)-1-ヒドロキシエチル]-19-メチル-6,9,12,15,18,21-ヘキサオキソ-16-(プロパン-2-イル)-1,2-ジチア-5,8,11,14,17,20-ヘキサアザシクロトリコサン-4-カルボン酸 , (4R,7S,10S,13S,16S,19S,22R)-22-[(2S,3S)-2-[(2S)-2-[(2S)-2-{[(2S)-1-[(2S)-2-[(2S,3S)-2-[(2S)-6-amino-2-[(2S,3S)-2-[(2S)-2-(2-{2-[(2S)-2-[(2S)-2-amino-3-phenylpropanamido]-4-methylpentanamido]acetamido}acetamido)-4-methylpentanamido]-3-methylpentanamido]hexanamido]-3-methylpentanamido]-3-methylbutanoyl]pyrrolidin-2-yl]formamido}propanamido]-4-(methylsulfanyl)butanamido]-3-methylpentanamido]-7,10-bis(4-aminobutyl)-13-[(1R)-1-hydroxyethyl]-19-methyl-6,9,12,15,18,21-hexaoxo-16-(propan-2-yl)-1,2-dithia-5,8,11,14,17,20-hexaazacyclotricosane-4-carboxylic acid ,

関連する cas 番号: 10000-42-7 100-00-5 1000-05-1 10000-56-3 100007-55-4 100010-02-4 10001-13-5 10001-43-1 100015-12-1 100-01-6

マーケティングと価格
メーカーおよび販売代理店:
  • メーカー/ブランド
  • 化学薬品および原材料
  • 包装
  • 価格
合計 9 の原材料サプライヤー
化学物質詳細情報 Edit
物性情報:
安全性情報:
  • ピクトグラム:
  • 危険コード:
  • ステートメント:
  • 安全に関する声明:
用途:
  • 紹介と応用です: ラナレキシンは、北アメリカヒョウガエルの皮膚腺で合成される陽イオン性多肽抗生物質です。広範な細菌に対抗する強力な抗微生物作用を持ち、細菌の細胞膜を破壊することにより抗微生物活動を発揮します。さらに、ラナレキシンには免疫調節および抗炎症効果もあり、細菌感染の治療のための新しい治療薬の開発において有望な候補となる独特の特性を持っています。
販売店へ照会