へようこそ LookChem.com ログイン|無料で参加
  • or

ネオコピアマイシンメーカー CAS番号89989-28-6サプライヤー | LookChem

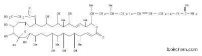
ネオコピアマイシン

基本情報 Edit
  • 化学名:ネオコピアマイシン
  • CAS番号:89989-28-6
  • 化学分子式:C53H93N3O17
  • 分子量:1044.32
  • Hs コード:
  • Mol ファイル ダウンロード:89989-28-6.mol
ネオコピアマイシン

別名: (+)-マロン酸水素3-[5,7,9,19,21,23,27,29,30,31-デカヒドロキシ-13-(11-グアニジノ-1,3-ジメチル-7-ウンデセニル)-8,12,18,22,26-ペンタメチル-15-オキソ-14,33-ジオキサビシクロ[27.3.1]トリトリアコンタ-10,16-ジエン-3-イル] , 3-{[13-(12-カルバムイミドアミド-4-メチルドデカ-8-エン-2-イル)-5,7,9,19,21,23,27,29,30,31-デカヒドロキシ-8,12,18,22,26-ペンタメチル-15-オキソ-14,33-ジオキサビシクロ[27.3.1]トリトリアコンタ-10,16-ジエン-3-イル]オキシ}-3-オキソプロパン酸 , 3-{[13-(12-carbamimidamido-4-methyldodec-8-en-2-yl)-5,7,9,19,21,23,27,29,30,31-decahydroxy-8,12,18,22,26-pentamethyl-15-oxo-14,33-dioxabicyclo[27.3.1]tritriaconta-10,16-dien-3-yl]oxy}-3-oxopropanoic acid ,

関連する cas 番号: 89999-15-5 899-98-9 89-99-6 89992-70-1 89989-32-2 89989-28-6 89987-98-4 89987-06-4 89984-23-6 89984-04-3

マーケティングと価格
メーカーおよび販売代理店:
  • メーカー/ブランド
  • 化学薬品および原材料
  • 包装
  • 価格
  • American Custom Chemicals Corporation
  • NEOCOPIAMYCIN A 95.00%
  • 5MG
  • $ 495.63
合計 4 の原材料サプライヤー
化学物質詳細情報 Edit
物性情報:
安全性情報:
  • ピクトグラム:
  • 危険コード:
  • ステートメント:
  • 安全に関する声明:
用途:
販売店へ照会